Applicazioni comuni di reologia dei polimeri

Parte I: fluidi non-Newtoniani

Vincenzo Villani

Laboratorio di Chimica delle Macromolecole, Dipartimento di Scienze, Università della Basilicata
e-mail: vincenzo.villani@unibas.it

Indice

Un viaggio nei polimeri che incontriamo quotidianamente
Bibliografia essenziale

Abstract:  In Elementary Principles of Polymer Rheology, found in the Keywords section of this issue, the fundamentals of viscosity of polymer materials have been introduced and pseudoplastic, dilatant, thixotropic, rheopectic, and plastic non-Newtonian behaviors have been discussed. In this contribution some significant cases of non-Newtonian behavior of common polymers will deal with. It is a very vast subject which often, due to its complexity, is not explored in school programs, but whose knowledge is increasingly required in current technological applications.

Keywords:  fluidi tixotropici; fluidi reopettici; liquidi di Bingham; addensanti; gelificanti; Effetto ketchup

Un viaggio nei polimeri che incontriamo quotidianamente

I fluidi tixotropici, la cui viscosità diminuisce durante il flusso, sono comuni per le soluzioni di polisaccaridi e polipeptidi utilizzate nell’industria alimentare, cosmetica, farmaceutica, delle vernici, ecc. Al contrario, questo stato è poco comune per i polimeri allo stato fuso, il cui flusso è attivato dall’agitazione termica ad alta temperatura.

Un comune fluido tixotropico è il ketchup che passa per agitazione dalla fase gel a quella sol; le sue proprietà reologiche sono essenzialmente dovute ai polisaccaridi modificatori di reologia, come la pectina o la gomma xantana. In ambito tecnologico, abbiamo elastomeri liquidi (sigillanti siliconici) e vernici tixotropiche (a base di acido polimetacrilico, PMAA, Figura 1).

Questi liquidi, in quiete formano un labile polymer network, tuttavia durante il flusso danno la transizione gel → sol che permette una posa facile e senza gocciolamento.

Figura 1. Struttura molecolare dell’acido polimetacrilico, PMAA

Per un fluido reopettico, la cui viscosità aumenta durante il flusso, si genera una struttura interna che si oppone allo scorrimento: durante transizione sol → gel, gli aggregati isolati dello stato sol sono via via trasformati nell’aggregato connesso dello stato gel del fluido macromolecolare. Un comune fluido reopettico è la maionese, emulsione di olio-in-acqua, stabilizzata dalla lecitina (un fosfolipide, Figura 2) del tuorlo d’ovo, che agisce da tensioattivo: sotto l’azione del flusso, le micelle si interconnettono formando una rete.

Altresì, sono tixotropici lo yogurt, in cui la caseina denaturata forma il protein network, e la sospensione acqua-argilla nella produzione della ceramica.

Figura 2. Formula di struttura della lecitina

I liquidi plastici o di Bingham, possono essere sia tixotropici che reopettici: sono caratterizzati dal fatto che presentano uno sforzo di soglia allo scorrimento, ovvero cominciano a scorrere solo al di sopra di un dato sforzo. Questo comportamento è dettato dalla presenza di una rete estesa di interazioni di non-legame del tipo legame idrogeno o aromatiche π−π. Si comportano come solidi fino alla soglia detta yield-stress τ = τy con modulo di taglio G, mentre per τ > τy scorrono come fluidi in modo lineare o non-lineare. Un comune liquido plastico è il dentifricio (a base di silicati o polisaccaridi come addensanti). Altresì, un composito termoplastico (il polistirene, ad esempio) o elastomerico (di gomma naturale o gomma stirene-butadiene, ad esempio) allo stato fluido, caricato con particelle di nerofumo (carbon black) o silice amorfa in percentuale sufficientemente alta, presentano una soglia di sforzo allo scorrimento e si comportano da fluido di Bingham (Figura 3).

Figura 3. Curve di flusso τ = τ(ω) di un fluido plastico di Bingham

Come è stato spiegato nella sezione Keywords di questo numero, per descrivere il comportamento di un fluido sia Newtoniano che non-Newtoniano vale una legge di potenza. Analogamente, per un fluido plastico scriveremo:

τ=τy+ηpωn

Oltre a essere spesso dipendente dalla velocità di scorrimento e dal tempo, la viscosità è altamente sensibile alla temperatura. L’effetto di quest’ultima sulla viscosità dei liquidi è descritto dall’Equazione esponenziale di Andrade (1913):

η=A·eBTlnη=lnA+BT

dove A e B sono costanti caratteristiche del materiale e T è la temperatura assoluta. In particolare, la costante B descrive l’energia d’attivazione dello scorrimento viscoso:

B=ΔER η=A ·eΔERT

Come si può notare, la dipendenza è esponenziale e comporta importanti implicazioni nella lavorazione e caratterizzazione dei materiali polimerici.

Nelle applicazioni tecnologiche si utilizzano una moltitudine di polimeri tixotropici, reopettici, di Bingham come modificatori di reologia (rheology modifier). In questo modo abbiamo i thinning agent che riducono la viscosità del materiale, i thickening agent (addensanti) che aumentano la viscosità, i gelificanti (gelling agent) che formano lo stato gel. Questi modifier sono importanti nell’industria alimentare, cosmetica, farmaceutica, della detergenza, del cemento, ecc. Vediamo qualche esempio. Sono thinning agent, il poliossietilene (PEG, (–O–CH2–CH2–)n) le cui soluzioni acquose diluite presentano un comportamento pseudoplastico: a questo scopo sono utilizzate dai vigili del fuoco in quanto permettono un getto della soluzione molto maggiore di quello ottenuto con sola acqua. Analogamente, polimeri tipo PEG sono utilizzati come superplasticizer per diminuire la viscosità del cemento, riducendo in questo modo il rapporto acqua/cemento e migliorando le proprietà finali.

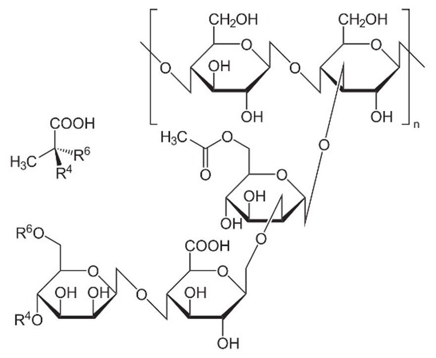
È un gelling agent la Xantham gum, largamente usata nell’industria alimentare e cosmetica. Si tratta di un polisaccaride ramificato (Figura 4) che è stato ottenuto negli anni 1960 da processi fermentativi e che ha sostituito in larga misura la pectina.

Alla concentrazione di meno dell’1% in peso, produce un forte aumento di viscosità creando uno stato gel nell’alimento; aumentando, però, la velocità di scorrimento permette il passaggio allo stato sol proprio del comportamento tixotropico: è il responsabile dell’Effetto ketchup, in cui, come è noto, la salsa passa facilmente dallo stato gel allo stato fluido per scuotimento. L’effetto tixotropico della Xanthan gum è sfruttato nei prodotti più svariati, dal dentifricio alla cosmetica, agli hydrogel bio-compatibili.

Figura 4. La struttura ramificata della Xantham gum

È un thickning agent il Carbopol, ovvero l’acido poliacrilico e suoi copolimeri, –(CH2-CH(C(=O)-OH))n– (Figura 5); è utilizzato come agente addensante nei detergenti, in cosmetica e nella preparazione del calcestruzzo, rendendo il prodotto più coeso.

Figura 5. Struttura dell’acido poliacrilico (Carbopol)

La metilcellulosa (MC) è un agente addensante ed emulsionante largamente usato (Figura 6):

Figura 6. Struttura della metilcellulosa

La Cellulose gum, ovvero la carbossimetilcellulosa (CMC) (Figura 7), è un addensante alimentare che trova impiego anche dell’industria della carta.

Figura 7. Struttura della carbossimeticellulosa (Cellulose gum)

L’idrossipropilcellulosa (HPC) (Figura 8) è un thickener utilizzato come emulsion stabilizer in prodotti farmaceutici. Al variare della concentrazione in acqua dà luogo a mesofasi cristallo-liquido (comportamento liotropico). È il principale componente del Cellugel, per il trattamento e conservazione della pelle e del cuoio.

Figura 8. Struttura dell’idrossipropilcellulosa

Infine, consideriamo brevemente le ben note creme alimentari dal punto di vista reologico.

Nella crema pasticcera (o pasticciera, a base di latte, tuorlo d’uovo e zucchero) l’amido (amilopectina 80% e amilosio 20%, polisaccaridi rispettivamente ramificato o lineare) agisce da gelling agent (Figura 9). Si ottiene un materiale solido, ma facilmente scorrevole, dunque un fluido di Bingham.

Figura 9. La crema pasticcera (a destra) e la struttura dell’amilopectina, l’agente gelificante (a sinistra)

Nella crema Chantilly (crema pasticcera e panna montata) la lecitina del tuorlo agisce da agente emulsionante della panna (a base di trigliceridi di acidi grassi saturi) e l’amido da gelling agent. La crema inglese (crema pasticcera senza amido) resta un’emulsione fluida; al contrario nella crema bavarese, l’amido della crema pasticcera è sostituito dalla gelatina animale (a base di collagene), o vegetale (a base di carragenina).

La realizzazione delle creme alimentari può diventare un accattivante strumento didattico per introdurre allo studio degli intriganti comportamenti reologici dei materiali polimerici.

Bibliografia essenziale

  • N. Grizzuti, Reologia dei materiali polimerici: scienza ed ingegneria, Edizioni Nuova Cultura, 2012.

  • V. Villani, Lezioni di Scienza dei Materiali Polimerici, Aracne Editrice, 2020.

  • V. Villani, Lezioni di Chimica e Tecnologia dei Polimeri, Aracne Editrice, 2021